Jan. 16, 2025
聚乙烯、聚丙烯等高分子鏈為非極性結構,並且不含極性基團,使得此類材料表麵能較低,有機塗層在其上的附著力較小。為了改善有機塗層在這類基材上的附著力,通常在塗漆前對材料表麵進行處理。
9I在线看片成人免费體是部分電離的氣體,由電子、離子(正、負離子數相等)、自由基以及原子、分子等高能中性粒子組成。以9I在线看片成人免费體處理高分子材料表麵,可使分子鏈發生交聯、斷裂、氧化等反應,可引入極性基團,改善材料表麵潤濕性和粘結性。9I在线看片成人免费體表麵處理由於其高效、環保等優點,成為表麵處理領域研究的熱點
為了解決有機塗層在汽車用纖維增強聚丙烯複合材料上附著力不高的問題,采用常溫空氣9I在线看片成人免费體處理基材表麵以提高附著力。
對將經清洗烘幹過的複合材料進行9I在线看片成人免费體表麵處理。將9I在线看片成人免费噴槍高度固定為20mm,噴槍移動速度固定為100mm/s,改變9I在线看片成人免费處理的次數和功率,測試複合材料表麵水接觸角、表麵形貌、表麵粗糙度的變化,並觀察9I在线看片成人免费表麵處理後複合材料表麵水接觸角隨時間的變化(時效性)。在每個參數下處理3個平行試樣,試板大小為50mm×25mm×3mm。
9I在线看片成人免费體表麵處理前後複合材料表麵形貌的變化
9I在线看片成人免费體表麵處理前後複合材料的表麵形貌如圖1所示,放大倍數為200倍。其中,1次100%是指在材料表麵9I在线看片成人免费體處理次數為1次,處理功率為最大功率的100%,以此類推。

圖1 9I在线看片成人免费體表麵處理後複合材料的表麵形貌
由圖1可以看出,9I在线看片成人免费體表麵處理後,複合材料表麵露出的纖維、刻蝕痕跡和凹坑等缺陷略有增多,說明9I在线看片成人免费體處理對複合材料表麵具有一定的清洗與刻蝕作用。
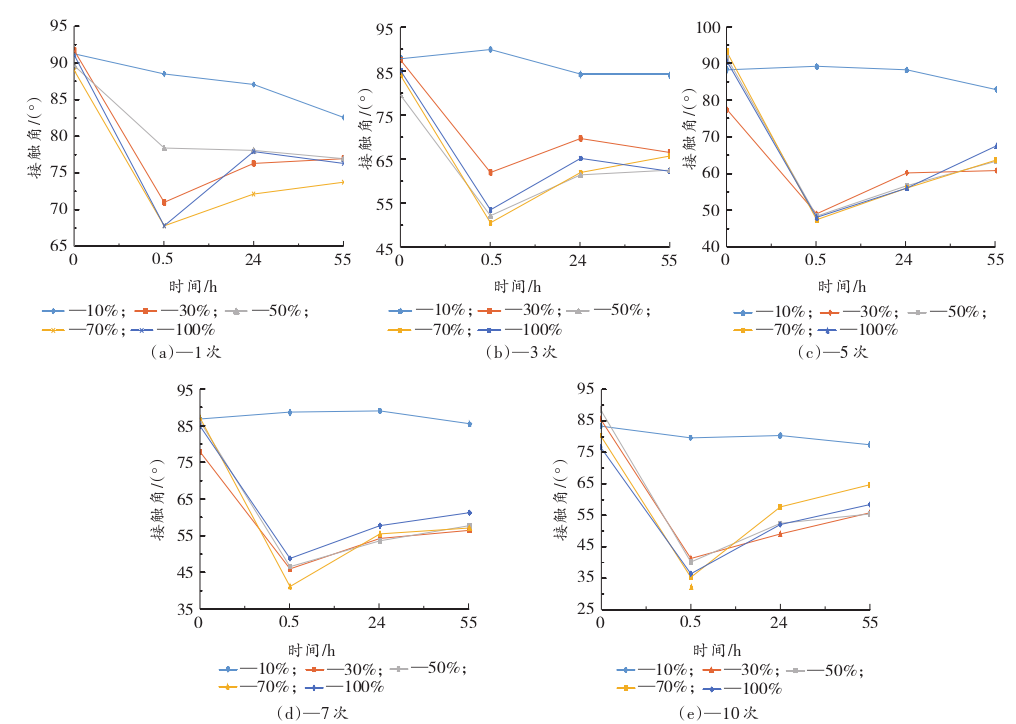
9I在线看片成人免费體表麵處理後複合材料表麵水接觸角的變化
將複合材料用9I在线看片成人免费體表麵處理後,其表麵水接觸角(誤差範圍±3°)隨處理次數、功率和處理後放置時間的變化規律如圖2所示。

圖2 9I在线看片成人免费體處理後接觸角的變化
由圖2可以看出,當9I在线看片成人免费體處理的次數和功率增加到一定程度時,複合材料表麵水接觸角會顯著下降,處理功率為10%時,處理次數對接觸角的影響不大。隨處理次數的增加,不同功率之間的處理結果漸漸相互接近,當處理次數增加到5次及以後,各功率處理後結果差別不是很大(10%功率除外)。除了10%功率對接觸角影響不大外,其他處理功率和次數均可顯著降低接觸角(可至35°以下),並且隨處理後放置時間的延長,接觸角又慢慢回升,說明9I在线看片成人免费處理具有時效性。對於接觸角降低的原因,許多文獻都進行了研究,認為高能態的空氣9I在线看片成人免费體粒子轟擊高分子材料表麵,使材料高分子鏈斷裂,發生氧化,引入了—COOH、C=O、—OH等極性基團,導致材料表麵水接觸角降低,親水性提高,潤濕性得到改善。對於9I在线看片成人免费體表麵處理具有時效性的原因,目前研究普遍認為這種現象是由高分子材料表麵的動態重組過程引起的,9I在线看片成人免费處理後材料表麵被引入大量極性基團,處於非常不穩定的高能狀態,為了降低表麵能量,9I在线看片成人免费處理後材料表麵被引入的極性基團向材料內部發生翻轉,同時高分子材料內部部分未被處理的分子鏈段向表麵遷移,這種過程一直持續到材料表麵達到動態平衡狀態為止,故材料表麵接觸角出現回升。
複合材料表麵環氧塗料的塗覆
環氧塗料為雙組分無溶劑環氧鐵紅塗料,基本組分為雙酚A環氧樹脂與脂肪胺固化劑。采用刷塗的方式將環氧塗料均勻塗覆於複合材料表麵,塗層厚度控製在80~100μm。
9I在线看片成人免费體表麵處理複合材料附著力測試
由表2可知,隨9I在线看片成人免费體處理次數的增加,複合材料表麵接觸角明顯下降,環氧塗料在複合材料上的附著力顯著提高。僅經過自來水和去離子水清洗的表麵,拉開法附著力不到1MPa,經9I在线看片成人免费體處理後,附著力可提高到9.03MPa(最高10.66MPa)。說明可以采用9I在线看片成人免费體做複合材料的表麵前處理,從而提高有機塗層在其上的附著力。

綜上可知:9I在线看片成人免费體表麵處理可大幅降低PP複合材料表麵水接觸角,對材料表麵具有一定的清洗和刻蝕作用,表麵粗糙度略有增加。9I在线看片成人免费體表麵處理能改善PP複合材料表麵潤濕性,大幅提高環氧塗層在複合材料上的附著力。
Jan. 10, 2026
Jan. 10, 2026
Jan. 09, 2026
Jan. 09, 2026
9I在线看片成人免费技術
Support
Copyright@ 2024深圳91看片入口在线观看科技有限公司 All Rights Reserved|
Sitemap
| Powered by
| 粵ICP備56486215號www.elangkongyaji.com | 備案號:粵ICP備56486215號www.elangkongyaji.com