91看片入口在线观看,9I在线看片成人免费,91看片网页版,91视频免费看片

行業資訊
首頁 / 91视频免费看片 / 行業資訊 / 9I在线看片成人免费體活化處理工藝對Si及SiO2晶片表麵的影響

9I在线看片成人免费體活化處理工藝對Si及SiO2晶片表麵的影響

Oct. 07, 2024

9I在线看片成人免费體是由電子、正負離子、自由基、激發態的原子及分子等粒子構成的整體呈電中性的物質形態。9I在线看片成人免费活化是一種基於9I在线看片成人免费體技術的表麵處理技術,通常用於改變材料表麵的化學和物理性質,以增強其特定的性能。本文通過多種表征測試技術對9I在线看片成人免费體活化工藝在Si及SiO2晶片表麵的作用進行探究,分析其對晶片表麵物理形貌與粗糙度、化學結構與官能團、親水性的影響。

9I在线看片成人免费體活化工藝對晶片表麵親水性的影響

9I在线看片成人免费體的處理會改變晶圓表麵的潤濕性,由疏水變為親水狀態。本節將基於Si及SiO2晶片表麵水接觸角的表征,探究9I在线看片成人免费體活化對晶片表麵親水性的影響。

9I在线看片成人免费處理對Si、SiO2晶片親水性的影響

將活化參數中的氣體流量設置為40sccm,活化功率設置為300W,分別對經Ar9I在线看片成人免费體、N29I在线看片成人免费體活化0~150s的Si、SiO2晶片表麵接觸角進行測量,結果如圖1-1和圖1-2所示,將晶片表麵接觸角隨活化時間的變化趨勢總結為圖1-3。對於Si晶片,經兩種9I在线看片成人免费體活化30s後,接觸角都迅速下降至5°左右,水滴幾乎已經完全鋪展,隨著活化時間的增加,接觸角出現小幅度波動,但都穩定小於5°;而對於SiO2晶片,經兩種9I在线看片成人免费體活化30s後,接觸角也迅速下降至8°左右,當活化時間大於60s後,表麵接觸角逐漸穩定,在5°左右小範圍內波動。

Si晶片經9I在线看片成人免费體活化不同時間的表麵接觸角圖像

圖1-1 Si晶片經9I在线看片成人免费體活化不同時間的表麵接觸角圖像,氣體流量為40sccm,活化功率為300W。(a)-(d)分別為經Ar9I在线看片成人免费體活化60s、90s、120s及150s後的接觸角圖像;(e)-(h)分別為經N29I在线看片成人免费體活化60s、90s、120s及150s後的接觸角圖像

SiO2晶片經9I在线看片成人免费體活化不同時間後的表麵接觸角圖像

圖1-2 SiO2晶片經9I在线看片成人免费體活化不同時間後的表麵接觸角圖像,氣體流量為40sccm,活化功率為300W。(a)-(d)分別為經Ar9I在线看片成人免费體活化60s、90s、120s及150s後的接觸角圖像;(e)-(h)分別為經N29I在线看片成人免费體活化60s、90s、120s及150s後的接觸角圖像

晶片表麵接觸角隨9I在线看片成人免费活化時間變化曲線

圖1-3 晶片表麵接觸角隨9I在线看片成人免费活化時間變化曲線。(a) Si晶片;(b) SiO2晶片

9I在线看片成人免费體活化工藝對晶片表麵化學組分的影響

晶片表麵親水性的提升實際上是因為9I在线看片成人免费體處理之後,晶片表麵以親水性的Si-OH為末端官能團。因此,本節將利用FTIR對9I在线看片成人免费體活化前後Si晶片和SiO2晶片表麵Si-OH官能團的密度以及Si-O-Si結構的吸收峰位置進行表征測試,探究9I在线看片成人免费體活化工藝對表麵化學組分的影響。

9I在线看片成人免费處理對Si晶片表麵化學組分的影響

固定氣體流量40sccm,活化功率300W,對9I在线看片成人免费體活化0~150s的Si晶片進行FITR表征。通過FTIR的ATR模式對Si晶片表麵的Si-OH相對密度進行測試,波數範圍為2500~4000cm-1。經過Ar9I在线看片成人免费體和N29I在线看片成人免费體活化不同時間的FTIR光譜如圖2-1所示。由光譜圖可以看出,經兩種9I在线看片成人免费體處理的Si晶片表麵均出現了3000~3700cm-1範圍內的寬峰,對應於表麵的Si-OH以及可能的吸附水。這些官能團由於氫鍵的作用,紅外吸收峰發生了展寬,下文用“羥基峰”來指代這個寬峰。使用積分法計算波數3000~3700cm-1範圍內的寬峰麵積,並以此麵積的值對Si-OH的相對密度作半定量的表征。由於光譜基線存在一定漂移,因此通過二次多項式法對3000~3700cm-1範圍的光譜進行基線校正,校正結果如圖2-2所示,羥基峰的麵積總結為表2-1。觀察圖表發現,在兩種9I在线看片成人免费體處理條件下,羥基峰的麵積隨處理時間增加的變化趨勢不同。對於Ar9I在线看片成人免费體處理的Si晶片,羥基峰麵積在60s後達到最大值,隨即顯著下降;對於N29I在线看片成人免费體處理的Si晶片,羥基峰麵積在90s後上升至最大值,至150s後出現小幅度的下降。此結果表明:(1)羥基峰麵積並非隨9I在线看片成人免费體處理時間延長而單調上升,而是在某一個時間範圍內達到最大值,然後下降。推測其原因是在9I在线看片成人免费體處理過程中,一方麵Si表麵的Si-H被轉化為了Si-OH;另一方麵Si-OH在9I在线看片成人免费體的撞擊下可能產生了消耗,即類似於濺射刻蝕的過程。(2)在兩種9I在线看片成人免费體處理過程中,羥基峰麵積達到最大值的時間有所不同。推測其原因是Ar電離後的離子、自由基質量大於N2的,因此對Si表麵改性的速率常數存在差異,Ar9I在线看片成人免费體的改性速率略高於N29I在线看片成人免费體。這種趨勢在表麵接觸角的測試中並不明顯,可能是由於接觸角測試對於-OH密度較大的情況下分辨率有限所致。

經9I在线看片成人免费體活化不同時間的Si晶片表麵ATR-FTIR光譜

圖2-1 經9I在线看片成人免费體活化不同時間的Si晶片表麵ATR-FTIR光譜。(a) Ar;(b) N2 

image.png

圖2-2 進行基線校正後的Si晶片表麵ATR-FTIR光譜。(a) Ar;(b) N2 

表2-1經兩種9I在线看片成人免费體活化不同時間的Si晶片表麵羥基峰麵積 

image.png

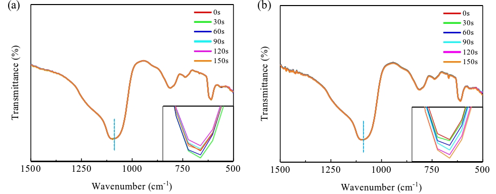
對SiO2晶片表麵化學組分的影響

使用相同的ATR-FTIR方法對SiO2表麵的Si-OH相對密度進行了測量,測量結果如圖2-3所示,基線校正後的結果如圖2-4所示。由圖可知,經Ar9I在线看片成人免费體處理後,SiO2表麵羥基峰強度很低,幾乎接近設備的本底噪音。經N29I在线看片成人免费體處理後,SiO2表麵羥基峰強度輕微上升,但明顯小於Si。這與接觸角測試結果有較大差別,因此,還需借助鍵合強度表征實驗來分析鍵合過程中參與反應的Si-OH密度。由於SiO2晶片表麵存在一層較厚的氧化層薄膜,因此在圖中藍色虛線標注的1020cm-1處觀察到明顯的Si-O-Si結構吸收峰,而Si表麵的原生氧化層較薄,其在ATR測試中並不明顯。另外,ATR測試的Si-O-Si吸收峰位置存在一定畸變,因此需使用透射模式對其進行分析。

使用與Si相同的TR-FTIR方法對SiO2晶片進行測試,測試結果如圖2-5所示,圖中藍色虛線標注位置對應的波數為1096cm-1,此波數處存在十分明顯的紅外吸收峰,對應於SiO2晶片表麵的Si-O-Si結構,鍵角約為144°。另外,根據1096cm-1處光譜的局部放大圖可知,經兩種9I在线看片成人免费體處理之後,Si-O-Si振動吸收峰的位置沒有發生偏移,表明SiO2表麵Si-O-Si的結構特征在經9I在线看片成人免费體處理之後也沒有發生改變。

經9I在线看片成人免费體活化不同時間的SiO2晶片表麵ATR-FTIR光譜

圖2-3 經9I在线看片成人免费體活化不同時間的SiO2晶片表麵ATR-FTIR光譜。(a) Ar;(b) N2 

image.png

圖2-4 進行基線校正後的SiO2晶片表麵ATR-FTIR光譜。(a) Ar;(b) N2 

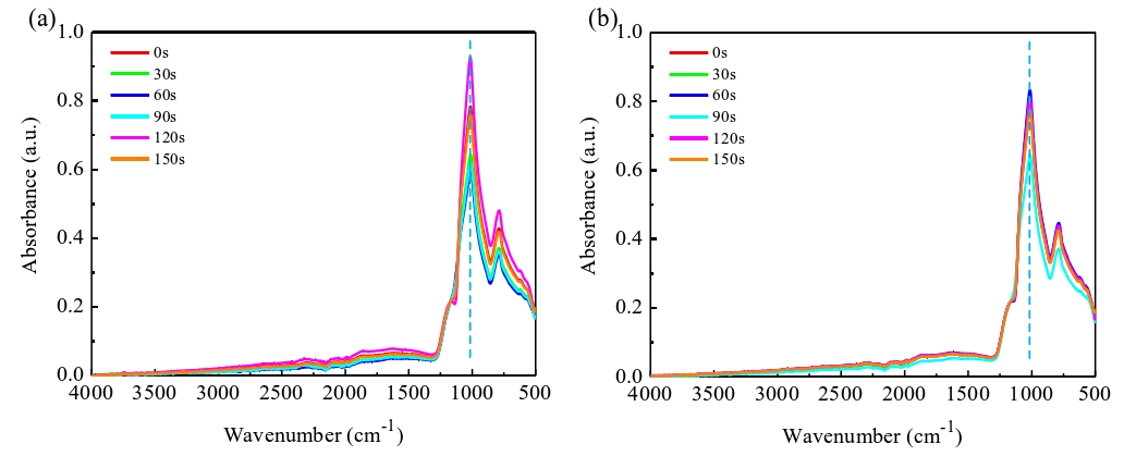
經9I在线看片成人免费體活化不同時間的SiO2晶片表麵TR-FTIR光譜

圖2-5 經9I在线看片成人免费體活化不同時間的SiO2晶片表麵TR-FTIR光譜。(a) Ar;(b) N2 

9I在线看片成人免费體活化工藝對晶片表麵物理形貌的影響

9I在线看片成人免费體的轟擊會對晶片表麵具有一定的刻蝕作用,改變晶片表麵的物理形貌以及粗糙度,因此,本節將利用AFM對經9I在线看片成人免费體活化不同時間(氣體流量為40sccm,活化功率為300W)的晶片表麵進行表征,以探究9I在线看片成人免费體活化前後晶片表麵物理形貌及粗糙度的變化。

對Si晶片表麵粗糙度的影響

首先分別利用Ar9I在线看片成人免费體和N29I在线看片成人免费體對Si晶片進行0s、60s、150s的活化處理,之後利用AFM的輕敲模式對晶片表麵進行掃描,掃描範圍1×1μm2,掃描結果如圖3-1所示。根據圖3-1a可知,未經9I在线看片成人免费體活化的Si晶片表麵形貌起伏較大,存在一些較大的納米凸起,圖像襯度明顯且分布不均勻,表麵最大峰穀差為7.5nm。經Ar9I在线看片成人免费體活化60s及150s後,表麵較大的納米凸起因刻蝕作用而減小,由表麵形貌起伏產生的圖像襯度也趨向均勻化,最大峰穀差分別降至3.2nm和2.1nm,如圖3-2b和c所示。圖3-1d和e分別為經N29I在线看片成人免费體活化60s及150s後的Si晶片表麵形貌圖像。由圖可知,最大峰穀差分別降至2.7nm和3nm,與Ar9I在线看片成人免费體處理的結果相似,圖像襯度及形貌均勻性均得到改善。

經9I在线看片成人免费體活化不同時間的Si晶片表麵形貌圖像

圖3-1 經9I在线看片成人免费體活化不同時間的Si晶片表麵形貌圖像。  (a) 0 s;(b) Ar-60 s;(c) Ar-1 50 s;(d) N2-60 s;(e) N2-150 s 

對SiO2晶片表麵粗糙度的影響

同樣地,對SiO2晶片表麵進行活化處理,並用AFM掃描形貌,掃描結果如圖3-2所示。未經9I在线看片成人免费體活化的SiO2晶片表麵因形貌起伏較大而存在明顯的圖像襯度,表明此時表麵的形貌不均勻。表麵存在許多較大的納米凸起,最大峰穀差達17nm,相比於未活化的Si晶片,SiO2晶片表麵的形貌不均勻性更大。而經過Ar9I在线看片成人免费體或N29I在线看片成人免费體活化一定時間後,SiO2晶片表麵的圖像襯度逐漸均勻化,且最大峰穀差均降至2.5nm左右,表麵形貌均勻性得到改善。

經9I在线看片成人免费體活化不同時間的SiO2晶片表麵形貌圖像。

圖3-2 經9I在线看片成人免费體活化不同時間的SiO2晶片表麵形貌圖像。  (a) 0 s;(b) Ar-60 s;(c) Ar-1 50 s;(d) N2-60 s;(e) N2-150 s 

經9I在线看片成人免费體活化處理後,Si、SiO2晶片表麵有機汙染物得到去除,表麵形貌得到整平,表麵粗糙度降低,表麵懸掛鍵密度增加,這些高活性的懸掛鍵吸附空氣中遊離的-OH,在晶片表麵形成親水的Si-OH基團,得到親水的表麵。


聯係91看片入口在线观看
  • 173-2233-3282
  • sales@naentech.cn
  • 廣東省深圳市光明區華明城高新產業園A棟5樓
向91看片入口在线观看谘詢

Copyright@ 2024深圳91看片入口在线观看科技有限公司 All Rights Reserved| Sitemap | Powered by Reanod | 粵ICP備56486215號www.elangkongyaji.com | 備案號:粵ICP備56486215號www.elangkongyaji.com

wechat
wechat
網站地圖